天津大學人工智能學院于強教授團隊聯合國際科研人員,在神經網絡信息處理機制研究中取得重要突破。該研究聚焦于大腦神經網絡的“基本零件”——突觸,首次揭示了其處理時空信息的核心機制。相關成果于11月22日發表于國際著名學術期刊《美國科學院院刊》(PNAS)。
人類大腦中,數以億計的神經元以脈沖的形式,通過“突觸”這一連接點傳遞和處理信息。對其工作機制的模擬與計算,是人工智能領域發展的重要啟發源泉。具體而言,突觸具有兩種關鍵的調節能力:一種是“長時可塑性”,即其連接強度可以長期增強或減弱,這被認為是形成長期記憶的基礎;另一種是“短時可塑性”,指的是在極短時間內動態調節信號強度的能力。盡管兩者均至關重要,但它們如何協同工作,共同影響大腦的學習與信息處理效率,一直是未解之謎。
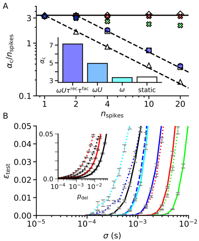
針對這一難題,研究團隊通過構建突觸計算與學習理論模型,發現當“長時可塑性”作用于“短時可塑性”時,大腦能夠將時間序列上的信息轉化為空間上的表達模式。這一機制顯著增強了神經網絡的記憶容量、抗干擾能力以及對復雜時空信息的識別能力。該模型還在小鼠與人類大腦皮層突觸電生理觀測中得到了驗證,顯示出高度的生物合理性。

圖為神經網絡存儲容量和噪聲魯棒性分析結果。(受訪者供圖)
“這項研究就像是我們找到了大腦在處理信息時的‘協作密碼’?!庇趶姳扔鞯溃八粌H解釋了大腦處理信息的底層邏輯,也為開發可解釋、可通用的下一代人工智能方法提供了重要支撐。”(記者張建新、栗雅婷)









